Progresser-en-maths
  • Exercices de prépa
  • Exercices corrigés
  • Cours
  • Informatique
  • Devenir contributeur
  • Actualités
  • Tests de logique

Nos derniers cours

  • héorème de Bayes : formule P(A|B), arbre de probabilités et schéma prior-postérieur
    Le théorème de Bayes : cours complet et exercices corrigés26 mars 2026
  • Le produit scalaire en prépa : cours complet avec interprétation géométrique et exercices corrigés
    Le produit scalaire en prépa : Cours et exercices corrigés25 mars 2026
  • Le théorème du rang : cours complet avec démonstration et exercices corrigés
    Le théorème du rang : cours, démonstration et exercices corrigés25 mars 2026
  • Noyau et image d'une application linéaire : cours complet avec méthode de calcul et exercices corrigés
    Noyau et image dans un espace vectoriel : Cours et exercices corrigés25 mars 2026
  • Le gradient : cours et applications en machine learning
    Le gradient : cours complet et applications ML15 mars 2026
  • Fonctions de plusieurs variables et dérivées partielles : cours complet
    Fonctions de plusieurs variables et dérivées partielles : cours complet15 mars 2026
  • Étude complète d'une fonction : méthode pas à pas avec courbe, maximum et asymptote
    Étude de fonction : méthode complète et exercices corrigés13 mars 2026
  • Lettres grecques en mathématiques : alphabet complet avec utilisations
    Lettres grecques : Liste complète et utilisation en maths11 mars 2026
  • La règle de l'Hôpital : cours complet avec exercices corrigés
    La règle de l’Hôpital : cours et exercices corrigés6 mars 2026
Progresser-en-maths
  • Exercices de prépa
  • Exercices corrigés
  • Cours
  • Informatique
  • Devenir contributeur
  • Actualités
  • Tests de logique
Progresser-en-maths
The Latest
Les maths indispensables pour le machine learning : algèbre linéaire, analyse, probabilités et statistiques
Les maths indispensables pour le machine learning : guide complet
  • Maths pour le ML
parValentin Strach
29 mars 2026
7 minutes de lecture
Pas de commentaire
Fonctions convexes : cours complet et exercices corrigés
Fonctions convexes : cours complet et exercices corrigés
  • Cours de prépa
parValentin Strach
29 mars 2026
6 minutes de lecture
Pas de commentaire
Analyse en composantes principales (ACP) : cours complet et applications en machine learning
ACP (analyse en composantes principales) : cours complet
  • Maths pour le ML
parValentin Strach
29 mars 2026
10 minutes de lecture
Pas de commentaire
Logarithme népérien : cours complet avec définition, propriétés et exercices corrigés
Le logarithme népérien : cours complet et exercices corrigés
  • L1
  • Révisions du bac
parValentin Strach
29 mars 2026
5 minutes de lecture
4 commentaires
  • vitesse
  • vecteurs propres
  • vecteurs
  • variance
  • valeurs propres
  • valeur absolue
  • triangle rectangle
  • triangle de Pascal
  • triangle équilatéral
  • triangle
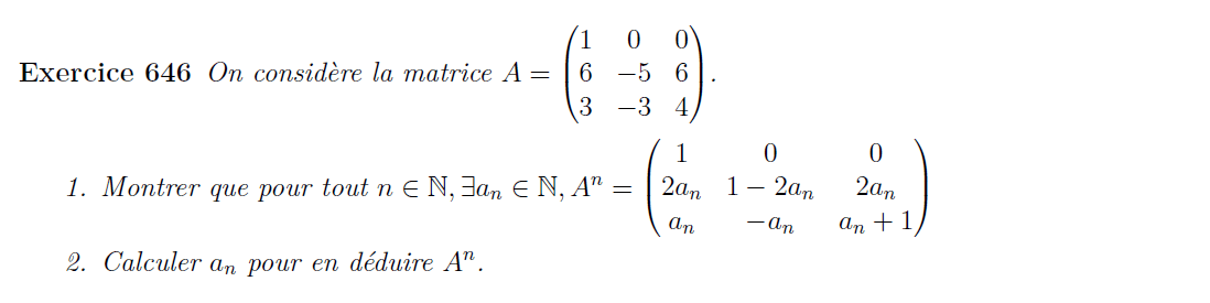
Accueil Exercices de prépa maths : 1800+ exercices corrigés Exercices de matrices en prépa Exercices de calcul de puissance de matrices

Exercices de calcul de puissance de matrices

Retrouvez ici tous nos exercices de calcul de puissance de matrices ! Pour sélectionner un exercice en particulier et faciliter la lecture, n’hésitez pas à cliquer sur une image !

Autour des puissances de matrices PT 2022
Somme de matrices de M2(R)
Convergence et limite d'une puissance de matrice
Matrices à coefficients entiers et puissances
Puissance de matrice à calculer
Calcul de puissance de matrice oral ccinp pc 2023
Puissance de matrice dans Z
Limite de puissance de matrices
Arithmétique des matrices
Puissance de matrice
Puissance de matrices à calculer
Autour de la matrice Attila
Puissance de matrices

NOUVEAU : Mon livre sur le grand oral est sorti

Livre Valentin Strach : 30 sujets de grand oral Maths
Pages et Articles les plus vus
  • Équivalents usuels : liste complète des formules
    Équivalents usuels : liste complète des formules
  • Grand oral avec des probabilités : sujets, problématiques et plans
    Grand oral avec des probabilités : sujets, problématiques et plans
  • Grand oral maths : 10+ idées de sujets avec plan détaillé
    Grand oral maths : 10+ idées de sujets avec plan détaillé
  • Intégration par parties : Cours, méthode et exercices corrigés
    Intégration par parties : Cours, méthode et exercices corrigés
  • Équation de la tangente : Formule, méthode et exercices corrigés
    Équation de la tangente : Formule, méthode et exercices corrigés
  • Les limites usuelles : Toutes les formules à connaitre
    Les limites usuelles : Toutes les formules à connaitre
  • Les dérivées : Cours, propriétés et exercices corrigés
    Les dérivées : Cours, propriétés et exercices corrigés
  • La forme canonique : Formule, cours et exercices corrigés
    La forme canonique : Formule, cours et exercices corrigés

Reçois nos dernières actualités

Nos dernières news

  • Les maths indispensables pour le machine learning : guide complet
  • Fonctions convexes : cours complet et exercices corrigés
  • ACP (analyse en composantes principales) : cours complet
  • Le logarithme népérien : cours complet et exercices corrigés
  • La fonction exponentielle : Cours complet et exercices corrigés
Progresser-en-maths
  • Sites de Maths
  • Politique de confidentialité
Maths + Toi = 1
 

Chargement des commentaires…