Progresser-en-maths
  • Exercices de prépa
  • Exercices corrigés
  • Cours
  • Informatique
  • Devenir contributeur
  • Actualités
  • Tests de logique

Nos derniers cours

  • héorème de Bayes : formule P(A|B), arbre de probabilités et schéma prior-postérieur
    Le théorème de Bayes : cours complet et exercices corrigés26 mars 2026
  • Le produit scalaire en prépa : cours complet avec interprétation géométrique et exercices corrigés
    Le produit scalaire en prépa : Cours et exercices corrigés25 mars 2026
  • Le théorème du rang : cours complet avec démonstration et exercices corrigés
    Le théorème du rang : cours, démonstration et exercices corrigés25 mars 2026
  • Noyau et image d'une application linéaire : cours complet avec méthode de calcul et exercices corrigés
    Noyau et image dans un espace vectoriel : Cours et exercices corrigés25 mars 2026
  • Le gradient : cours et applications en machine learning
    Le gradient : cours complet et applications ML15 mars 2026
  • Fonctions de plusieurs variables et dérivées partielles : cours complet
    Fonctions de plusieurs variables et dérivées partielles : cours complet15 mars 2026
  • Étude complète d'une fonction : méthode pas à pas avec courbe, maximum et asymptote
    Étude de fonction : méthode complète et exercices corrigés13 mars 2026
  • Lettres grecques en mathématiques : alphabet complet avec utilisations
    Lettres grecques : Liste complète et utilisation en maths11 mars 2026
  • La règle de l'Hôpital : cours complet avec exercices corrigés
    La règle de l’Hôpital : cours et exercices corrigés6 mars 2026
Progresser-en-maths
  • Exercices de prépa
  • Exercices corrigés
  • Cours
  • Informatique
  • Devenir contributeur
  • Actualités
  • Tests de logique
Progresser-en-maths
The Latest
Les maths indispensables pour le machine learning : algèbre linéaire, analyse, probabilités et statistiques
Les maths indispensables pour le machine learning : guide complet
  • Maths pour le ML
parValentin Strach
29 mars 2026
7 minutes de lecture
Pas de commentaire
Fonctions convexes : cours complet et exercices corrigés
Fonctions convexes : cours complet et exercices corrigés
  • Cours de prépa
parValentin Strach
29 mars 2026
6 minutes de lecture
Pas de commentaire
Analyse en composantes principales (ACP) : cours complet et applications en machine learning
ACP (analyse en composantes principales) : cours complet
  • Maths pour le ML
parValentin Strach
29 mars 2026
10 minutes de lecture
Pas de commentaire
Logarithme népérien : cours complet avec définition, propriétés et exercices corrigés
Le logarithme népérien : cours complet et exercices corrigés
  • L1
  • Révisions du bac
parValentin Strach
29 mars 2026
5 minutes de lecture
4 commentaires
  • vitesse
  • vecteurs propres
  • vecteurs
  • variance
  • valeurs propres
  • valeur absolue
  • triangle rectangle
  • triangle de Pascal
  • triangle équilatéral
  • triangle
Accueil Exercices de prépa maths : 1800+ exercices corrigés Exercices pour les MP

Exercices pour les MP

Retrouvez ici tous nos exercices pour préparer les concours en tant que MP ! Pour sélectionner un exercice en particulier et faciliter la lecture, n’hésitez pas à cliquer sur une image !

Centrale MP 2024, maximum avec un produit scalaire
Mines-Ponts MP 2024 Isométries
Boule unité et parallélogramme
Similitude et équation différentielle de matrices
Equivalence de normes
Intersection de spectre
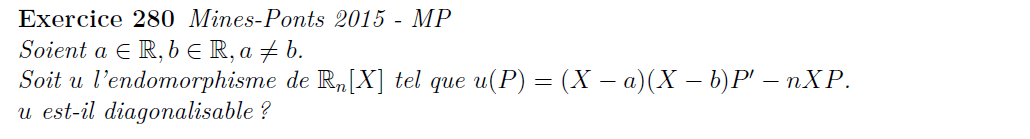
Propriété diagonalisabilité
Equation fonctionnelle à Centrale
Fonction 1-périodique
Décomposition matrices, avec spectre minimal
Propriété matrice jacobienne
Propriétés autour des matrices et Cayley-Hamilton
Valeur propre d'ordre n par combinaison linéaire
Propriété des fermés de R
Fonction continue partout dérivable nulle part
Autour du lemme de Gauss et du critère d'Eisenstein
Diagonalisabilité d'une matrice vérifiant certaines propriétés
Uniforme continuité et intégrabilité
Limite de la différence de la valeur absolue pour une fonction intégrable
Caractérisation des ouverts
Finitude d'une boule
Complémentaire d'un compact dans un EVN
Elements d'ordre 7 de GL5(Q)
Changement de signes pour des polynômes
Matrices à coefficients entiers et puissances
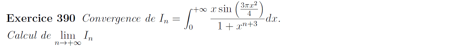
Valeur intégrale impropre sur résultat général
Inégalité polynômes à coefficients entiers
Racine distinctes de polynômes complexes
Cardinalité d'un ensemble
Périodicité avec des polynômes
Inégalité intégrale oral ENS Lyon 2023
Limite uniforme d'une suite de polynômes à coefficients entiers
Inégalité de Hardy
Inégalité de Gauss
Inégalité de Weyl
Inégalité avec norme infinie et intégrales
Groupes dont l'identité est le seul automorphisme
Suites équiréparties, Python
Prolongement continu sur le cercle unité
Inégalité sur des polynômes Mines-Ponts MP
Indépendance de la somme des normes au carré selon la base orthonormée.
Autour des permutations
Maximisation de permutation
Existence d'une fonction de classe C-infini
Point extrémal, exercice autour de la trace
Ecriture de la série entière en un autre point
Loi de poisson application avec loi conjointe
ENSEA calcul d'une intégrale impropre classique
Image et noyau endomorphisme Mines-Ponts MP
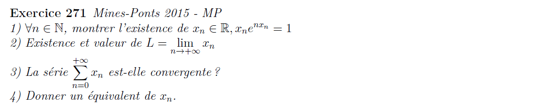
Mines-Ponts et gradient
Fonction définie par une intégrale CCINP
Étude de fonction définie par une intégrale CCINP
Volume et arithmétique
Probabilités oral ENS MP
Fonctions convexes oral Mines-Ponts
Formule classique intégrales oral mines-ponts
Suite définie dans le futur
Adhérence d'un ensemble de fonctions
Générateurs de SL2(Z)
Fonction définie par une intégrale à calculer
Déterminant d'indices définis par une fonction
Magistère Rennes analyse
Polynôme à plusieurs variables ENS ULSR
Arithmétique oral ENS Ulm
Déterminant de Vandermonde et variante
Equivalent de suite
Normes et différentielle
Polynômes de Laguerre
Oral centrale séries
Convergence de série de fonctions à étudier
Inégalité avec des normes
Nature d'une intégrale
Calcul d'intégrale avec exponentielle
Stabilité d'hyperplan
Application du théorème de Weierstrass
Inégalité de convexité et matrice
Inversion somme intégrale Mines-Ponts
Endomorphisme d'application
Polynômes, bases et Python
Convergence simple / uniforme et intégrale
Matrice nilpotente et commutant
Liberté de famille dont le produit scalaire est négatif
Intégrale impropre à calculer
Exercice 71 banque CCINP 2022
Diagonalisabilité matrice de rang 1
Géométrie : Ellipse et triangle
Continuité d'un endomorphisme défini par une intégrale
Loi géométrique et tirage de cartes
Equations différentielles et Gronwall
Morphismes des inverses de matrices
Probabilité et polynômes
Relations coefficients racines
Diviseur de 0 dans un anneau
Séries entières relation rayons de convergence
Relation séries entières
Propriété sur le rang
Equation différentielle et série entière
Endomorphisme moyenne de Césaro
Elements nilpotents de Z/nZ
Intégrale impropre logarithme à calculer
Théorème de point fixe
Distance à un espace
Gamma prime de -1
Equivalent de série de fonctions
Puissance de matrice dans Z
Max de la boule unité sur la sphère
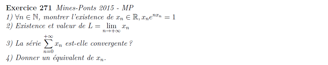
Equivalent de suite
Propriété d'équation différentielle
Equation de matrice
Sous algèbre commutative
Probabilité et intégrales
Isomorphisme du groupe linéaire
Probabilité et division euclidienne
Probabilités dans Z/nZ
Reste de la division euclidienne pour une loi de Poisson
Fonction à deux variables de classe C-infini
Endomorphisme dont le carré est la dérivée
Image de polynômes
Etude de fonction
Diagonalisabilité de polynômes
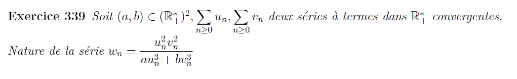
Nature de série définie par des polynômes
Matrice à diagonaliser
Majoration d'intégrale
Caractérisation des normes euclidiennes
Probabilité de diagonalisabilité
Limite de puissance de matrices
Transformation de matrice par des matrices orthogonales
Propriétés des matrices dans un corps fini
Intégrale impropre à calculer
Majoration d'espérance, probabilité et cardinal
Polynômes de Hermite
Polynômes de Legendre
Somme de loi de Bernoulli
Matrice et loi binomiale
Image par la similitude de matrices
Equivalence de suites déifnie par un polynôme
Théorème de Stone-Weierstrass
Suites adjacentes
Théorème de Schwarz non vérifié
Différentiabilité à étudier
Différentiabilité et extrema de fonction définie par une intégrale
Extrema à calculer
Extrema à calculer
Différentielle du déterminant
Différentiabilité
Les polynômes sont harmoniques
Norme d'algèbre
Série de fonctions arctan
Relation sur la trace
Démonstration transposée de la comatrice
Limite de sin à calculer
Inégalité max espérance
Inégalité espérance
Cardinal de Gln(K)
Max de fonction à plusieurs variables
Fonction Gamma
Intégrale double
Intégrale de poisson
Etude d'une fonction à 2 variables
Calcul d'intégrales
Intégrabilité de 2 fonctions
Intégrabilité et limite de suites de fonctions
Distance à un sous-espace vectoriel
Calcul sur des normes
Formule de stirling
Zeta 4 calcul
Théorème d'approximation de weierstrass
Nature de série
Intégrale double
Comparaison de séries
Endomorphisme diagonalisable
constante de la gaussienne
Convergence séries et nombres premiers
PPCM et convergence de séries
PPCM et convergence de séries
Exercice série ENS
Percolation prépa exercice
Fonction à plusieurs variables
Marche aléatoire prépa
Généralisation lemme d'Abel
Lemme de Gronwall
Intégrale impropre, valeur absolue
Calcul d'intégrale impropre de racine
Série de fonctions
Calcul de séries et équivalents
Racine de la dérivation
Forme linéaire
Déterminant de polynômes de matrice
Développement limité courbe paramétrée
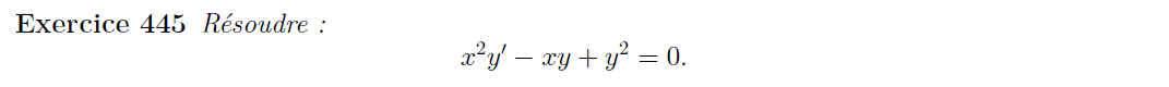
Equation différentielle à manipuler
Equation différentielle non linéaire
Equation différentielle d'ordre 2 avec second membre
Equation différentielle propriété
Série d'intégrales
Equation matriciielle
Rang matrice antisymétrique
Equation différentielle de matrice
Isométrie diagonalisable
Matrice de On
Base orthonormée
Elements propres fonction
Famille orthogonale classique
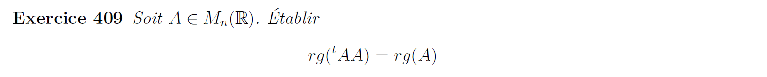
rang transposée
Egalité de Parseval
Loi à déterminer
Moments d'ordre 3 et 4 exercice
Exercice de boules
Intégrale à paramètres
Equivalent d'intégrale
Intégrale à paramètres
Intégrale à calculer
Intégrale impropre fraction rationnelle
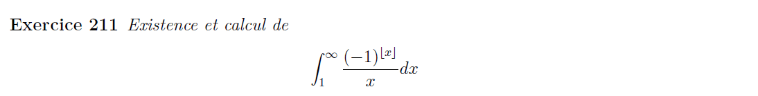
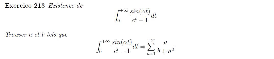
Existence et calcul d'intégrales
Equivalent d'intégrale
Convergence d'intégrale
Suite d'intégrales
Intégrale à calculer
Calcul d'intégrale
Convergence et calcul d'intégrale
Intégrale sur R+
Intégrabilité de puissance de log
Astroïde
Courbe paramétrée
Courbe paramétrée
Courbe paramétrée
Théorème de Leibniz application
Equation non linéaire
Exponentielle de matrice
Puissance de matrice
Convergence d'endomorphismes diagonalisables
Racine de matrice
Matrice semblables sur C sont semblables sur R
Matrice de forme U
Matrice de rang 1
Matrice compagnon
Calcul de valeurs propres et vecteurs propres
Calcul de valeurs propres
Equation de matrice
Equation matricielle déterminant
Masse de cailloux
Série entière de polynômes
Développement en série entière
Rayon de convergence
Convergence uniforme de polynôme
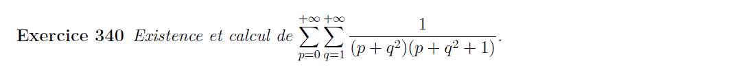
Série double
Nature de série
Série originale
Suite récurrence série
Somme de Césaro
Fermeture
Application linéaire continue
Espaces vectoriels et continuité
Existence d'un minimum norme infinie
Application linéaire continue
Forme linéaire continue
Compacité de On
Connexité par arcs
Endomorphisme de dérivation
Nature de séries
Norme matricielle
Normes de polynômes
Polynôme défini par une intégrale
Connexité de Gln
Vect d'un ouvert
Fermeture des espaces de nombres
Inégalité de normes
Morphisme de corps
Equation dans Z/13Z
Equation dans Z/12Z
Equation dans Z/37Z
dénombrabilité nombres algébriques
Série géométrique dérivée
Partitions et endomorphisme
arithmétique et anneaux
Inversibles d'un anneau
Séries entières et intégrales
Arithmétique mines-ponts
Exponentielle de matrices
Suite de matrices
Base de matrices
Valeur propre commune
Convergence de séries
Fermeture de Sn
Suites et séries de fonctions mines
Séries de fonction mines
Diagonalisabilité endomorphisme polynômes
Etude de fonction complexe
Décomposition en éléments simples
Exponentielle de matrice
Exercice intégrale Mines-Ponts
Exercice espace préhilbertien Mines-Ponts
Polynôme et produit de séries
Suite de fonctions exponentielle
Equation matricielle
Suite définie par équation
Sommes doubles
Césaro généralisation
Topologie et polynômes
Suite de fonctions
Calcul d'un minimum
Suite de fonctions
Densité supérieure
Intégrale de puissances
Séries et Python
Formes linéaires
Endomorphisme induit
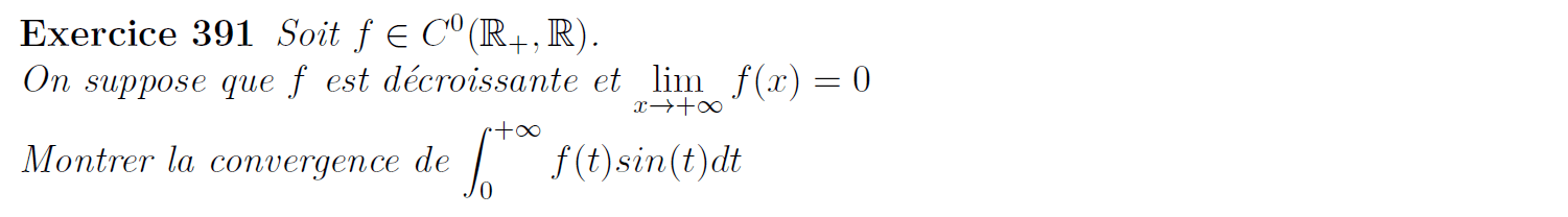
Intégrale impropre
Matrice symétrique dont les coefficients sont positifs
Convexe compacts
Théorème de relèvement
Décomposition de polynômes
Dés truqués
Oral Centrale
Centrale oral
Projecteur orthogonal
Endomorphisme symétrique
Probabilité de se croiser
Différentielle du déterminant
intégrale de ln de cos
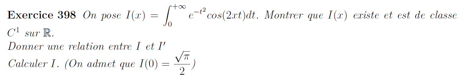
Intégrale impropre
Intégrale impropre
Intégrale alternée
Intégrales et équations différentielles
Intégrale de polynômes et fonction nulle
Inégalité d'intégrale
Norme de différence
Fermés espaces vectoriels
Densité de partie dans R
Inégalité de semi-norme
injectivité de R^n dans R
Fermeture de Z et N
Norme conservant le changement de base
Norme sur les fonctions lipschitziennes
Droite qui divise la surface
Différentielle de l'inverse d'une matrice
Théorème d'Edelstein
Ouverture matrices symétriques
Densité des matrices diagonalisables
Racine de matrice symétrique définie positive
Matrice symétrique
Calcul de compact
Nilpotence et différence
Puissance diagonalisable
Diagonalisation simultanée
Equation de matrice
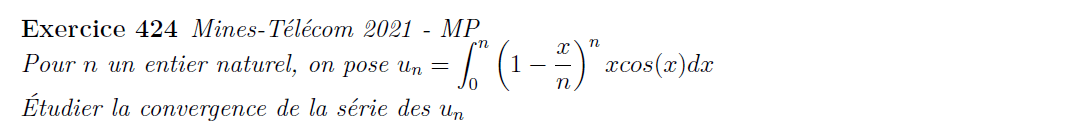
Puissances de matrice
Matrice attila
Majoration des racines d'un polynôme
Polynômes à n variables
positivité de polynômes
translation de polynômes
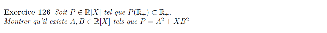
polynôme comme somme de carrés
polynôme comme somme de carrés
Bijection de matrices
Groupe spécial linéaire engendré par
exponentielle de matrice
Polynome nul trace nulle
Matrice de trace nulle semblable diagonale nulle
Sous-groupe fini de Gln(R)
Nombre de carrés dans Z/pZ
Un petit calcul d'approximation
Séries entières et polynômes
Séries entières et dénombrement
Nombre de Bell
Equation différentielle et série entière
La limite d'un polynome est un polynome
Suites et séries de fonctions
La fonction racine approximée V2
La fonction racine approximée
Convergence de suite de polynômes
Exponentielle cachée
Série complexes
Série double
Suite récurrente d'ordre p
Irrationalité de e

NOUVEAU : Mon livre sur le grand oral est sorti

Livre Valentin Strach : 30 sujets de grand oral Maths
Pages et Articles les plus vus
  • Grand oral avec des probabilités : sujets, problématiques et plans
    Grand oral avec des probabilités : sujets, problématiques et plans
  • Grand oral maths : 10+ idées de sujets avec plan détaillé
    Grand oral maths : 10+ idées de sujets avec plan détaillé
  • Les limites usuelles : Toutes les formules à connaitre
    Les limites usuelles : Toutes les formules à connaitre
  • Les dérivées : Cours, propriétés et exercices corrigés
    Les dérivées : Cours, propriétés et exercices corrigés
  • Exercices de prépa maths : 1800+ exercices corrigés
    Exercices de prépa maths : 1800+ exercices corrigés
  • Cours de maths gratuits
    Cours de maths gratuits
  • Croissance comparée : théorèmes, méthode et exercices corrigés
    Croissance comparée : théorèmes, méthode et exercices corrigés
  • Équivalents usuels : liste complète des formules
    Équivalents usuels : liste complète des formules

Reçois nos dernières actualités

Nos dernières news

  • Les maths indispensables pour le machine learning : guide complet
  • Fonctions convexes : cours complet et exercices corrigés
  • ACP (analyse en composantes principales) : cours complet
  • Le logarithme népérien : cours complet et exercices corrigés
  • La fonction exponentielle : Cours complet et exercices corrigés
Progresser-en-maths
  • Sites de Maths
  • Politique de confidentialité
Maths + Toi = 1
 

Chargement des commentaires…